波普医药正在热销:
别名:3-甲基-2-氧代丁酰乙酯
英文名称:Ethyl 3-methyl-2-oxobutyrate
分子式:C7H12O3
Cas No.:20201-24-5
分子量:144.17
结构式:
规格:95%
用途:基础原料、有机中间体、医药中间体
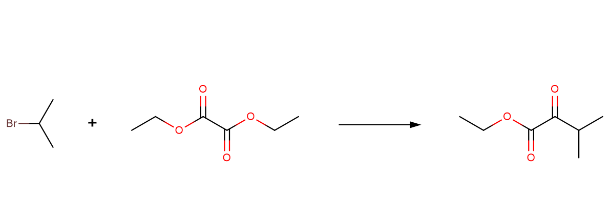
合成工艺如下:
magnesium; tetrahydrofuran; tetrahydrofuran;
Reactants are commercially availlable.
Angewandte Chemie - International Edition, vol. 53, 10, (2014), p. 2658 - 2661, Angew. Chem., vol. 126, 10, (2014), p. 2696 - 2699,4

Feel free to call us on
025-85998075
Drop us a line anytime at
sales@popebiotech.com,
and we’ll get back
soon.
Come visit us at 2 Qiande Road, Life Science High Tech Zone, Jiang Ning District, Nanjing, Jiangsu Province, China